
भारत के अंग्रेजी भाषी स्टार गॉडमैन, जग्गी वासुदेव ने अनेक मौकों पर दावा किया है कि अवैध कामों को लेकर उन पर लगने वाले सारे आरोप उन उत्साही भक्तों की तरह हैं जो उनका पीछा करते रहते हैं और यदि ये आरोप साबित हो गयें तो वो भारत छोड़ कर चले जायेंगे. ऐसे आरोपों का पूरा एक गट्ठर है जिनमें कथित अवैध कामों के संबंध में दिये गए बयानों और सरकारी रिकॉर्ड्स की मोटी-मोटी पोथियां शामिल हैं. न्यूज़लॉन्ड्री ने इनमें से कई स्त्रोतों की छानबीन का काम किया जो किसी तहक़ीक़ात से कम नहीं था और पाया कि इनमें ऐसा बहुत कुछ है जो सच्चाई को सामने ला सकता है. इनके बिना आरोप केवल आरोप ही रह जायेंगे. वैसे भी ये सारे आरोप जग्गी वासुदेव के लिए छोटी-मोटी झंझटे भर ही हैं क्योंकि वो तो लगातार अपने विशाल धार्मिक-सांस्कृतिक और व्यापारिक साम्राज्य, ईशा फाउंडेशन का विस्तार ही करते चले जा रहे हैं. और जैसे-जैसे उनका साम्राज्य बढ़ता चला जा रहा है वैसे-वैसे वो देश के सबसे प्रभावशाली गॉडमैन बनते चले जा रहे हैं.
आखिर वो कौन-कौन से आरोप हैं जो वासुदेव, या सद्गुरु (उनके भक्त उन्हें इसी नाम से पुकारते हैं) पर लगाए गये हैं? क्या इन आरोपों की कभी तहक़ीक़ात की गई? अगर हां, तो नतीजा क्या निकला? अगर नहीं, तो क्यों नहीं? क्या इन अवैध कारनामों को अंजाम देने के लिए उन्होंने अपनी इस गॉडमैन की छवि का इस्तेमाल किया या फिर इन कथित अवैध कारनामों के कारण ही वो इतने मशहूर और समृद्ध हो पायें?
इन प्रश्नों का उत्तर पाने के लिए न्यूज़लॉन्ड्री ने सरकारी कर्मचारियों, सामाजिक कार्यकर्ताओं और व्हिसलब्लोअर्स से बात की; संस्था से संबंधित सरकारी रिकॉर्ड्स की छानबीन की; सालों से अदालतों में चल रहे मामलों के साथ ही उन पर हुई तहक़ीक़ातों की भी जांच-पड़ताल की.
इन सब से मिलकर जो जवाब सामने निकल कर आते दिखाई दे रहे हैं वो लालच, भ्रष्टाचार, तथा सामाजिक-धार्मिक-सांस्कृतिक भावनाओं का शोषण कर भौतिक समृद्धि अर्जित करने की वही पुराने ढर्रे वाली कहानी कह रहे हैं. और इस कहानी के केंद्र में है, तमिलनाडु के कोयंबटूर का छोटा-सा आदिवासी गांव, इक्कराई बोल्वमपट्टी.
इक्कराई बोल्वमपट्टी में ही 150 एकड़ में फैला ईशा फाउंडेशन का मुख्यालय है. जहां कुल 77 छोटे-बड़े ढांचें निर्मित किए गये हैं. इनमें से एक ईशा आश्रम भी है जो तमाम नियम- कानूनों की धज्जियां उड़ाता हुआ 1994-2011 की अवधि में तैयार किया गया था. ये गांव वेलियंगिरी पहाड़ों में स्थित बोल्वमपट्टी आरक्षित वन के बगल में पाचीडर्म के थानीकांडी-मरूधामलाई माइग्रेशन कॉरिडोर के किनारे बसा हुआ है. इसीलिए, निर्माण कार्य तो दूर मानवीय गतिविधियों तक का नियमन हिल एरिया कंज़र्वेशन अथॉरिटी (एचएसीए) द्वारा किया गया जाता है. इसको तमिलनाडु के पर्वतीय क्षेत्रों में वन्य जीवों और पारिस्थितिकी तंत्र के संरक्षण के लिए 1990 में निर्मित किया गया था.


यहां की जमीन पर 300 वर्ग मीटर से ज्यादा का निर्माण कार्य एचएसीए की इजाजत के बिना नहीं हो सकता. जबकि राज्य के वन विभाग, शहर एवम ग्राम नियोजन विभाग, तथा आवास और शहरी विकास विभाग से न्यूज़लॉन्ड्री को जो रिकॉर्ड्स मिले हैं वो दर्शाते हैं कि वर्ष 1994-2011 के बीच ईशा फाउंडेशन द्वारा बगैर अनुमति के इक्कराई बोलूवम्पत्ति में 63,380 वर्ग मीटर जमीन पर निर्माण कार्य किया गया और 1,406.62 वर्ग मीटर की एक कृत्रिम झील भी बनायी गयी. इस पर वासुदेव और उनके फाउंडेशन का कहना है कि उन्होंने 32,855 वर्ग मीटर जमीन पर निर्माण कार्य के लिए स्थानीय पंचायत से अनुमति ली थी जबकि इस ग्रामीण ईकाई के पास एचएसीए के अधीन आने वाले क्षेत्रों में निर्माण कार्यों के नियमन संबंधी कोई अधिकार नहीं है.




ईशा फाउंडेशन ने एचएसीए से स्वीकृति लेने के लिए 2011 में आवेदन किया था, लेकिन ये उससे पहले ही थोड़े-बहुत इमारतों और ढांचों का निर्माण करवा चुका था. जुलाई, 2011 का वन विभाग का एक दस्तावेज दर्शाता है कि ईशा द्वारा 63,380 वर्ग मीटर जमीन पर अवैध निर्माण के साथ ही 28,582 वर्ग मीटर जमीन पर नए निर्माण को हरी झंडी दिखाने के लिए एचएसीए से आवेदन किया गया था. इस आवेदन को देखते हुए कोयंबटूर के तत्कालीन वन अधिकारी वी थिरुनावुक्कारासु फरवरी, 2012 में ईशा आश्रम भी गये. उन्होंने पाया कि ईशा द्वारा अवैध इमारतों की एक पूरी श्रृंखला तैयार कर दी गयी है जिसमें 28,582.52 वर्ग मीटर का वो प्लॉट भी शामिल है जिसकी मंजूरी के लिए एचएसीए से आवेदन किया गया था.



थिरुनावुक्कारासु ने वहां ये भी पाया कि आश्रम की चाहरदीवारी और मुख्य द्वार जंगल की जमीन पर बने हुए हैं. और केवल यही नहीं बल्कि ईशा द्वारा किये गए अनेक निर्माण कार्यों और उसके फलस्वरूप वहां आने वाले भक्तों के हूजूम के कारण एलिफैंट कॉरिडोर का रास्ता बाधित होने से मानव और वन्य जीवों की टकराहट भी बहुत बढ़ गयी है. इन सब कारणों से उन्होंने इसे मंजूरी देने से इंकार कर दिया. उसी साल अक्टूबर में ईशा ने यह कहकर कि वह अपने आवेदन में कुछ संशोधन करना चाहते हैं उसे वापस ले लिया और उस आवेदन पत्र को 2014 तक दोबारा दायर नहीं किया.
2018 में थिरुनावुक्कारसु की बतौर मुख्य वन संरक्षक कोयंबटूर में वापसी हुई, लेकिन सिर्फ चार दिनों बाद ही उनको वहां से हटा दिया गया.
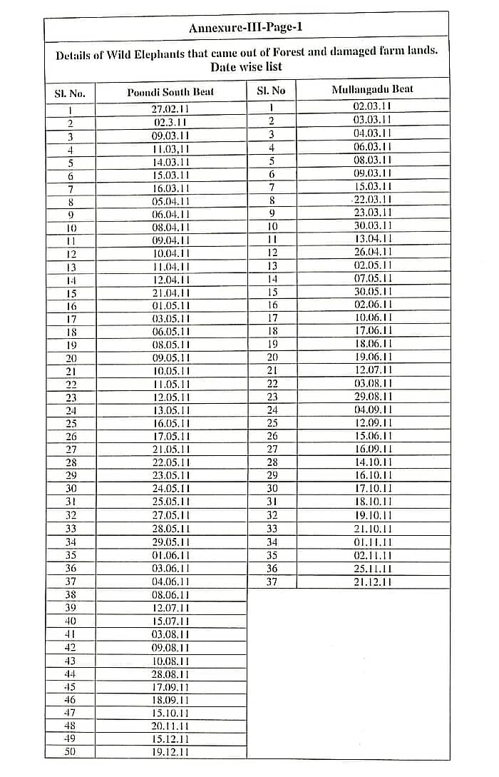
एमएस पार्थीपन नामक एक फॉरेस्ट रेंजर ने भी साल 2012 में ईशा आश्रम का दौरा किया और उन्होंने पाया कि आश्रम का कुछ हिस्सा हाथियों के साडीवयाल से थानीक्कन्डी के बीच होने वाली आवाजाही के मार्ग के आड़े आता है. ईशा द्वारा जंगल की जमीन पर अवैध रूप से इमारतें और दिवारें खड़ी करने, और बिजली के कटीले तार खींच देने से हाथी फसलों को कुचलते हुए और ग्रामीणों पर हमले करते हुए सुम्मेडु से नरसीपुरम के बीच जंगलों से बाहर आते हैं.




उन्होंने बताया, "300 वर्ग मीटर से ज्यादा के सभी निर्माण कार्यों के लिए एचएसीए की मंजूरी लेनी पड़ती है. ईशा ने एक बहुत बड़े क्षेत्र में बगैर अनुमति के निर्माण कार्य किये. उन्होंने पहले ही इमारतें और ढांचें खड़े कर लिए और उसके बाद मंजूरी के लिए आवेदन किया. जब भी उन्हें नए निर्माण कार्यों के लिए अनुमति लेने की जरूरत पड़ी, उन्होंने हमारी मंजूरी का इंतजार नहीं किया और सीधे निर्माण का काम शुरू कर दिया." पार्थीपन के ईशा आश्रम के निरीक्षण संबंधी सारी गुप्त जानकारी रखने वाले वन विभाग के एक अन्य अधिकारी ने अपना नाम उजागर न होने देने की शर्त पर कहा, "ईशा की जमीनें एलीफैंट कॉरिडोर में आ रहीं थीं और उसमें बाधाएं डाल रही थीं, इसीलिए उन्हें मंजूरी नहीं मिली."
ईशा द्वारा इक्कराई बोलुवम्पत्ति के कम से कम 33 ढांचों को धार्मिक परिसरों के तौर पर चिन्हित किया गया था जिसका मतलब है कि वो तमिलनाडु राज्य के नियोजन के नियमों के अनुसार सार्वजनिक इमारतें थीं. ऐसे ढांचों के निर्माण के लिए जिला कलेक्टर और नगर एवं ग्राम नियोजन विभाग के उपनिदेशक से मंजूरी लेनी पड़ती है. आवास और नगरीय विकास विभाग में पड़े ईशा के रिकॉर्ड्स दर्शाते हैं कि इसने ये मंजूरियां हासिल करने की बहुत जहमत नहीं उठायी. बल्कि इसके लिए वो पंचायत के पास गये. जबकि पंचायत के पास क़स्बाई और ग्रामीण नियोजन विभाग से मशविरा किए बगैर ऐसी मंजूरियां देने का अधिकार नहीं है.
आखिरकार मंजूरी लेने के लिए 2011 में फाउंडेशन नियोजन विभाग के पास गया, लेकिन तब तक वो ढांचों की एक श्रृंखला खड़ी कर चुका था- सब की सब अवैध. पिछले 15 सालों से वो जो निर्माण कार्य करवा रहे थे उसके संबंध में मंजूरिया मांगने के साथ ही वो नियोजन विभाग से 27 नई इमारतें बनाने की अनुमति भी मांग रहे थे. हालांकि अर्जी अधूरी होने के कारण विभाग ने उन्हें फरवरी, 2012 तक दोबारा एक अर्जी देने को कहा.






ईशा द्वारा अंतिम तिथि के नियम का उल्लंघन कर सात महीनों के बाद एक नयी अर्जी भेजी गई. इसके बाद जब नियोजन विभाग के अधिकारियों ने अक्टूबर, 2012 में आश्रम का दौरा किया तो उन्होंने पाया कि नई इमारतों का निर्माण कार्य पहले ही शुरू हो चुका था. उन्होंने फाउंडेशन को उसी वक़्त निर्माण कार्य रोकने के आदेश दिये और इस संबंध में नवंबर, 2012 में एक नोटिस भी जारी किया. लेकिन ईशा पर इसका कोई असर नहीं हुआ.
अंत में दिसंबर, 2012 में नियोजन विभाग ने ईशा को एक महीने के भीतर सभी अवैध ढांचों को गिराने का निर्देश देते हुए एक नोटिस जारी किया. फाउंडेशन ने इस नोटिस को शहर एवं ग्राम नियोजन विभाग के कमिश्नर के आगे चुनौती दे दी और मामला अभी तक अधर में ही लटका हुआ है.


उस वक़्त के मूकीआह कोयंबटूर में शहर एवम ग्राम नियोजन विभाग के उपनिदेशक थे. उनके विभाग ने आदेशों का उल्लंघन करने पर ईशा के खिलाफ कार्रवाई क्यों नहीं की?
"नोटिस जारी होने के एक महीने बाद मेरा तबादला कर यहां से हटा दिया गया," उन्होंने जवाब दिया. "उसके बाद क्या हुआ मैं नहीं जानता. मुझे नहीं पता उन्होंने मंजूरी ली या नहीं."
2012 तक ईशा कुल 50 नए निर्माण करवा चुका था तथा 27 अन्य इमारतों का निर्माण करवा रहा था. और ये सब की सब अवैध थीं.
ऐसा नहीं है कि फाउंडेशन के अवैध कामों को चुनौती नहीं दी गयी.
पिछले आठ सालों से पूवुलागिन ननबारगल एनजीओ के एम वेत्री सेल्वन, वासुदेव के अवैध निर्माण कार्यों के खिलाफ मद्रास उच्च न्यायालय में मुकदमा लड़ रहे हैं. उन्होंने 2013 से लेकर 2014 के बीच कुल चार याचिकाएं दायर की हैं. अपनी इन याचिकाओं में सेल्वन ने नियोजन विभाग से ईशा की अवैध इमारतों और ढांचों को गिराने के आदेश जारी करने, इन अवैध कामों के खिलाफ उचित कार्रवाई न करने वाले अधिकारियों को दंडित करने, ईशा संस्कृति स्कूल के अवैध संचालन पर रोक लगाने, और ईशा परिसर को सस्ती बिजली उपलब्ध कराने के प्रावधान पर रोके लगाने, की मांग की है.
इन याचिकाओं पर मार्च 2013 से लेकर अप्रैल 2014 तक कुल 10 सुनवाइयां हुई हैं. और उसके बाद से एक भी सुनवाई नहीं हुई है. "ईशा के अवैध निर्माण कार्यों से संबंधित हमारी पहली याचिका पर सुनवाई 8 मार्च, 2013 को हुई. और ईशा, जिला कलेक्टर, वन विभाग, एचएसीए और ग्राम पंचायत को एक नोटिस जारी किया गया. 25 मार्च, 2013 को हुई अगली सुनवाई में ईशा के वकील ने अपना पक्ष रखने के लिए कुछ और वक़्त की मांग की. 20 जून को ईशा, नियोजन विभाग, और राज्य सरकार आदि सभी ने अपनी प्रतिक्रियाएं दाखिल कीं और मामले को स्थगित कर दिया गया. 22 अगस्त, 2013 को हमने तीन और याचिकाएं दायर की और सभी चारों याचिकाओं पर एक साथ एक संयुक्त सुनवाई की गयी. दोनों पक्षों ने जिरह की लेकिन राज्य सरकार से कोई जवाब नहीं आया और मामले को फिर से स्थगित कर दिया गया." उन्होंने बताया.





13 मार्च, 2014 की सुनवाई के दौरान विद्यालय प्राधिकरण ने बताया कि, “उन्होंने ईशा को स्कूल के संचालन की कोई अनुमति नहीं दी है. इसके बाद अदालत ने कहा कि एक बार जब सभी प्रतिवादी अपने-अपने पक्ष दाखिल कर लेंगे तो उसके बाद ही अंतिम सुनवाई की जाएगी. तब से लेकर अब तक कोई सुनवाई नहीं हुई है."
2017 में सेल्वन ने ईशा द्वारा महाशिवरात्रि के उत्सव के आयोजन को लेकर भी एक याचिका दायर की थी लेकिन कोर्ट ने इन याचिकाओं पर सुनवाई करने से यह कहते हुए इंकार कर दिया कि उनके द्वारा दायर की गई पहले की याचिकाएं ही अभी तक लंबित हैं.
अदालत ने यह भी कहा कि मैंने यह याचिका किसी अन्य छिपी हुई मंशा के तहत दायर की है. उन्होंने आगे जोड़ा, "पिछले 15-20 सालों में इंसानों और जानवरों के बीच टकरावों के मामले तेजी से बढ़े हैं और इसका सबसे प्रमुख कारण है हाथियों के प्राकृतिक आवास में अवैध निर्माण जिसमें ईशा फाउंडेशन बहुत बड़े स्तर पर शामिल है. हम इस क्षेत्र का प्राकृतिक वातावरण को बचाने में जुटे हुए हैं ताकि इसकी जैव विविधता को संरक्षित रखा जा सके. इन्ही सब कारणों से हम ईशा फाउंडेशन के अवैध निर्माण कार्यों के खिलाफ लड़ाई लड़ रहे हैं. ये कोई पुश्तों से चली आ रही निजी दुश्मनी नहीं है.”
उच्च न्यायालय से निराशा हाथ लगने पर ईशा द्वारा किये जा रहे "पर्यावरण और वन्य जीवों के विनाश के खिलाफ" सेल्वन राष्ट्रीय हरित प्राधिकरण (एनजीटी) के दरवाजे पर पहुंचे. तीन साल बाद एनजीटी ने ईशा और स्थानीय प्रशासन को यह सुनिश्चित करने के निर्देश दियें कि आश्रम में आयोजित होने वाले महाशिवरात्रि जैसे बड़े अवसरों पर प्रदूषण न हो.
2017 में ईशा के खिलाफ शिकायतों को लेकर अदालत का दरवाजा खटखटाने वालों में सेल्वन अकेले नहीं थे. इक्कराई बोलुवम्पत्ति के मुट्टाथु अयाल बस्ती के आदिवासी समुदाय से संबंध रखने वाले 49 वर्षीय पी मुथाम्मल के जरिये वेल्लीयंगिरी हिल ट्राइबल प्रोटेक्शन सोसाइटी ने भी एक याचिका दायर की थी.
मुथाम्मल ने इस याचिका में कहा है कि ईशा के अवैध निर्माण कार्यों की वजह से इंसानों और जानवरों के बीच के टकरावों के कारण आदिवासियों की जिंदगियां दूभर हो गयी हैं. उन्होंने 112 फुट बड़ी आदियोगी की प्रतिमा पर भी यह ध्यान दिलाते हुए एतराज जताया कि इससे संबंधित जरूरी अनुमतियां नहीं ली गयी हैं.
अर्जी के संबंध में जवाब देते हुए शहर एवं ग्राम नियोजन विभाग के उपनिदेशक ने इस बात की पुष्टि की कि मूर्ति का निर्माण उनके विभाग की मंजूरी के बगैर किया गया है.
इससे पहले कि वो अपना जवाब दाखिल करते 28 फरवरी, 2017 को इस प्रतिमा का अनावरण किसी और के नहीं बल्कि स्वयं प्रधानमंत्री नरेंद्र मोदी के द्वारा किया जा चुका था.
यह सामने आने के बावजूद कि इस मूर्ति को कानूनी तौर पर चुनौती दी गयी है, मोदी जी को इसका अनावरण करने में कोई हिचकिचाहट नहीं हुई. ईशा के इतने सीधे तौर पर नियमों की धज्जियां उड़ाने का एक प्रमुख कारण हैं उस पर राजनेताओं का हाथ होना और उसमें भी खासकर तमिलनाडु सरकार का.
वन विभाग के ईशा आश्रम के एलीफैंट कॉरिडोर में स्थित होने से संबंधित दृष्टिकोण में आने वाले नाटकीय परिवर्तन को बेहद साफ तौर पर देखा जा सकता है.
न्यूज़लॉन्ड्री ने जो रिकॉर्ड्स देखें वो दर्शाते हैं कि कोयंबटूर के वन अधिकारी ने राज्य के वनों के प्रधान मुख्य संरक्षक को सूचित किया था कि ईशा द्वारा एलिफैंट कॉरिडोर की जमीन पर निर्माण कराया गया है और इसके निर्माण कार्यों तथा आश्रमों में भक्तों की भीड़- जिनकी महाशिवरात्रि पर ही संख्या दो लाख से अधिक हो जाती है के कारण इंसानों और जानवरों के बीच टकराहट बहुत बढ़ गया है. इसके साथ ही केवल महाशिवरात्रि उत्सव के आयोजन तक ही सीमित न रहने वाली बड़ी और शक्तिशाली लाइट्स और तेज आवाज वाली ऑडियों आदि ने भी स्थिति को और बिगाड़ दिया है.

इसी तरह जिला कलेक्टर द्वारा 2013 में जारी की गयी एक अधिसूचना में ईशा का नाम तो नहीं लिया लेकिन उस अधिसूचना में कहा गया था कि इक्कराई बोलुवम्पत्ति में संरक्षित वन के निकट अवैध निर्माण कार्य एलीफैंट कॉरिडोर में बाधाओं को तेजी से बढ़ाता जा रहा है. इस कारण जानवरों द्वारा इंसानी जान-माल की काफी क्षति हो रही है. इस नोटिस में एचएसीए की मंजूरी के बगैर निर्मित किये गये ईशा परिसर में बिजली और पानी की आपूर्ति बंद करने की धमकी भी दी गयी थी.

हालांकि 2020 तक आते-आते वन्य अधिकारी अलग-अलग राग अलापने लगे. जून, 2020 में राष्ट्रीय हरित प्राधिकरण को स्टेटस रिपोर्ट सौंपते हुए प्रधान मुख्य वन संरक्षक पी दुराइरासु ने दावा किया, “ईशा परिसर इक्कराई बोलुवम्पत्ति ब्लॉक 2 संरक्षित वन "से सटकर" बना हुआ है. यह एक प्रसिद्ध एलीफैंट कॉरिडोर है लेकिन एक अधिकृत एलीफैंट कॉरिडोर नहीं है.”
उन्होंने आगे बताया, “अपने वार्षिक प्रवास के लिए हाथी इक्कराई बोलुवम्पत्ति में उस जगह के करीब से गुजरते है जहां ईशा आश्रम स्थित है लेकिन वो जगह आधिकारिक तौर पर एलीफैंट कॉरिडोर नहीं है.”
इक्कराई बोलुवम्पत्ति पर वन विभाग की स्थिति में आयी अस्थिरता ईशा के लिए सीधे तौर पर लाभदायी ही साबित हुई. पिछले साल मार्च में के पलानीस्वामी सरकार ने उन प्लॉट्स को नियमित कर दिया जो बिना किसी मंजूरी के उस पर्वतीय क्षेत्र में बनाये गए थे. इसमें एचएसीए की जमीनें भी शामिल थीं जो एलीफैंट कॉरिडोर के दायरे से बाहर थीं लेकिन इक्कराई बोलुवम्पत्ति के अंतर्गत आती थीं.
"हमारा मानना है कि ये नियम पिछले दरवाजे से ईशा फाउंडेशन की मदद के लिए लाया गया है ताकि उसके अवैध निर्माण कार्यों को नियमित किया जा सके," जी सुंदरराजन ने दावा किया जो कि एक सामाजिक कार्यकर्ता हैं. "सरकार ने एलीफैंट कॉरिडोर्स और अभयारण्यों को अभी तक अधिसूचित नहीं किया है लेकिन ये नियम बना दिये हैं."
2017 में ईशा द्वारा जिन निर्माण कार्यों के लिए एचएसीए को मंजूरी के लिए अर्जी भेजी गई वो उससे पहले ही उन निर्माण कार्यों को पूरा कर इमारतें खड़ी कर चुका था. तत्कालीन प्रधान मुख्य वन संरक्षक, एच बसवराजू ने इस अर्जी के संबंध में जांच-परख करने के लिए एक कमेटी का गठन किया. कमेटी ने पाया कि ईशा के निर्माण कार्यों से स्थानीय वन्य जीवों और पर्यावरण को क्षति पहुंच रही है और उसने जिला वन अधिकारी को केवल उसी स्थिति में पूर्व में निर्मित हो चुके ढांचों को मंजूरी देने को कहा जो कि ईशा उन इमारतों में जरूरी बदलाव कर दे.




ईशा ने जंगल की कुछ सड़कों को इस्तेमाल में न लाने की बात और संरक्षित वन क्षेत्र के 100 मीटर के दायरे से भी बाहर तक ही अपने निर्माण कार्यों को सीमित रखने पर सहमति जता दी.
उसी साल भारत के नियंत्रक महालेखा परीक्षक (कैग) ने राज्य के वन विभाग को इस सब की जानकारी होने के बावजूद 2012 से ही ईशा के अवैध निर्माण कार्यों को न रोकने के लिए फटकार लगाई. एचएसीए की मंजूरी के बगैर ही निर्माण कार्य किया गया, कैग ने दोहराया.
कैग की रिपोर्ट पर प्रतिक्रिया देते हुए ईशा फाउंडेशन ने दावा किया कि उन्होंने अपने सभी निर्माण कार्यों के लिए 16 मार्च, 2017 को एचएसीए से मंजूरी ले ली थी. जबकि प्रधान मुख्य वन संरक्षक द्वारा गठित कमेटी ने ईशा परिसर का निरीक्षण ही 17 मार्च, 2017 को किया गया था और इसके कुछ दिनों बाद 29 मार्च को उसने अपनी रिपोर्ट सौंपी थी. यहां तक कि 4 अप्रैल, 2017 को तो प्रधान मुख्य वन संरक्षक अधिकारी ने शहर एवं ग्राम नियोजन विभाग से ईशा को सशर्त पोस्ट-कंस्ट्रक्शन मंजूरी देने की सिफारिश की थी. इसके बाद ही शहर एवं ग्राम नियोजन विभाग ने कोयंबटूर के अपने क्षेत्रीय उपनिदेशक को ईशा के निर्माण कार्यों को इस शर्त पर पोस्ट-कंस्ट्रक्शन मंजूरी देने के निर्देश दिए कि वो पूरे शुल्क का भुगतान करेंगे और वन विभाग की शर्तों का अनुपालन करेंगे. फिर ये कैसे संभव है कि 16 मार्च, 2017 को ही एचएसीए ने ईशा के निर्माण कार्यों को मंजूरी दे दी?
ईशा ने इस पर और कुछ दूसरे आरोपों पर कोई भी प्रतिक्रिया देने से इंकार कर दिया. इस मामले पर टिप्पणी करने के लिए न्यूज़लॉन्ड्री द्वारा भेजे गए एक ईमेल का जवाब देते हुए फाउंडेशन के प्रवक्ता ने चेतावनी देते हुए कहा, "आपके अनुमान और पूर्वानुमान हमारे लिए कोई मायने नहीं रखते लेकिन अगर आप फाउंडेशन को बदनाम ही करना चाहते हैं तो आप ये काम अपने निजी जोखिम पर ही करें."
तमिलनाडु के पास पोस्ट-कंस्ट्रक्शन मंजूरी देने की कोई व्यवस्था नहीं है. शहर एवं ग्राम नियोजन विभाग किसी निर्माण को कार्योत्तर तभी नियमित कर सकता है जब कुछ खास शर्तें पूरी कर ली जाती हों. हालांकि ये विभाग पर्यावरण सम्बन्धी कोई भी मंजूरी देने का अधिकार नहीं रखता.
तत्कालीन प्रधान मुख्य वन संरक्षक अधिकारी बसवराजू ने ईशा द्वारा निर्मित ढांचों का निर्माण कार्य हो जाने के बाद मिलने वाली मंजूरियों के संबंध में कोई भी प्रतिक्रिया देने से इंकार कर दिया है. उनकी जगह पर आए एक दूसरे अधिकारी और राष्ट्रीय हरित प्राधिकरण में स्टेटस रिपोर्ट दायर करने वाले दुराईरासु का कहना है, "शर्तों से छूट देने के बाद केवल सिफारिशें ही पूरी की गयी हैं. मैं नहीं जानता कि उन्होंने शर्तों का पालन किया है या नहीं. मेरी जानकारी के अनुसार उन्होंने एचएसीए से अब तक कोई अनुमति नहीं ली है."
कोयंबटूर के जिला कलेक्टर होने के नाते एचएसीए के प्रमुख राजमणि ने कहा, “वो एजेंसी द्वारा ईशा को दी गयी मंजूरियों के विषय में कोई बात नहीं करना चाहते. "आप जो मर्जी चाहे लिख सकते हैं."
तीन पार्ट में प्रकाशित होने वाली रिपोर्ट का यह पहला हिस्सा है.
यह रिपोर्ट हमारी एनएल सेना प्रोजेक्ट का हिस्सा है, जिसमें 155 पाठकों ने योगदान दिया.
इसे सरस उपाध्याय, विशाल रघुवंशी, विपिन शर्मा, किमाया कर्मलकर, शाफिया काज़मी, सौम्या के, तपिश मलिक, सूमो शा, कृष्णन सीएमसी, वैभव जाधव, रचित आचार्य, वरुण कुझिकट्टिल, अनिमेष प्रियदर्शी, विनील सुखरमानी, मधु मुरली, वेदांत पवार, शशांक राजपूत, ओलिवर डेविड, सुमित अरोड़ा, जान्हवी जी, राहुल कोहली, गौरव जैन, शिवम अग्रवाल, नितीश के गनानी , वेंकट के, निखिल मेराला, मोहित चेलानी, उदय, हरमन संधू, आयशा, टीपू, अभिमन्यु चितोशिया, आनंद, हसन कुमार , अभिषेक के गैरोला, अधिराज कोहली, जितेश शिवदासन सीएम, रुद्रभानु पांडे, राजेश समाला, अभिलाष पी, नॉर्मन डीसिल्वा, प्रणीत गुप्ता, अभिजीत साठे, करुणवीर सिंह, अनिमेष चौधरी, अनिरुद्ध श्रीवत्सन, प्रीतम सरमा, विशाल सिंह, मंतोश सिंह, सुशांत चौधरी , रोहित शर्मा, मोहम्मद वसीम, कार्तिक, साई कृष्णा, श्रेया सेथुरमन, दीपा और हमारे अन्य एनएल सेना सदस्यों के योगदान से संभव बनाया गया है.
Also Read: सेंट्रल विस्टा: राजपथ के खुदे हुए बाग़ और नदारद जंजीरों का एक और सच है
Also Read: प्रधानमंत्री वैक्सीनेशन नीति में पारदर्शिता लाएं
Newslaundry is a reader-supported, ad-free, independent news outlet based out of New Delhi. Support their journalism, here.